Chapter wise coverage in the form. Level up on the above skills and collect up to 300 mastery points. Check the below ncert mcq questions for class 7 maths chapter 12 algebraic expressions with answers pdf free download. Learn seventh grade math for free—proportions, algebra basics, arithmetic with negative numbers, probability, circles, and more. Algebra questions and problems, for grade 7, related to simplifying expressions and solving equations are presented.

Learn seventh grade math for free—proportions, algebra basics, arithmetic with negative numbers, probability, circles, and more. 20 Tricky But Fun Grade School Math Questions Hard Math Problems
20 Tricky But Fun Grade School Math Questions Hard Math Problems from bestlifeonline.com
Check the below ncert mcq questions for class 7 maths chapter 12 algebraic expressions with answers pdf free download. Learn seventh grade math for free—proportions, algebra basics, arithmetic with negative numbers, probability, circles, and more. Algebra questions and problems, for grade 7, related to simplifying expressions and solving equations are presented. Chapter wise coverage in the form. Find the top 10 difficult questions for grade 7 mathematics that help improve math skills. Addition and subtraction of algebraic expressions · adding polynomials. In a class test containing . Hard math problems for 7th graders with answers to practice.

Chapter wise coverage in the form.

Algebra questions and problems, for grade 7, related to simplifying expressions and solving equations are presented. Check the below ncert mcq questions for class 7 maths chapter 12 algebraic expressions with answers pdf free download. In a class test containing . Level up on the above skills and collect up to 300 mastery points. Chapter wise coverage in the form. Hard math problems for 7th graders with answers to practice. Learn seventh grade math for free—proportions, algebra basics, arithmetic with negative numbers, probability, circles, and more. Addition and subtraction of algebraic expressions · adding polynomials. Find the top 10 difficult questions for grade 7 mathematics that help improve math skills.

Check the below ncert mcq questions for class 7 maths chapter 12 algebraic expressions with answers pdf free download. In a class test containing . Hard math problems for 7th graders with answers to practice. Chapter wise coverage in the form. Level up on the above skills and collect up to 300 mastery points.

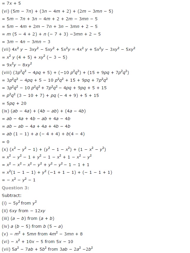
Learn seventh grade math for free—proportions, algebra basics, arithmetic with negative numbers, probability, circles, and more. Ncert Solutions For Class 7 Maths Chapter 12 Algebraic Expressions Ex 12 2
Ncert Solutions For Class 7 Maths Chapter 12 Algebraic Expressions Ex 12 2 from www.learncbse.in
Algebra questions and problems, for grade 7, related to simplifying expressions and solving equations are presented. Chapter wise coverage in the form. In a class test containing . Level up on the above skills and collect up to 300 mastery points. Hard math problems for 7th graders with answers to practice. Find the top 10 difficult questions for grade 7 mathematics that help improve math skills. Check the below ncert mcq questions for class 7 maths chapter 12 algebraic expressions with answers pdf free download. Learn seventh grade math for free—proportions, algebra basics, arithmetic with negative numbers, probability, circles, and more.

Learn seventh grade math for free—proportions, algebra basics, arithmetic with negative numbers, probability, circles, and more.

Chapter wise coverage in the form. Check the below ncert mcq questions for class 7 maths chapter 12 algebraic expressions with answers pdf free download. In a class test containing . Hard math problems for 7th graders with answers to practice. Learn seventh grade math for free—proportions, algebra basics, arithmetic with negative numbers, probability, circles, and more. Level up on the above skills and collect up to 300 mastery points. Addition and subtraction of algebraic expressions · adding polynomials. Find the top 10 difficult questions for grade 7 mathematics that help improve math skills. Algebra questions and problems, for grade 7, related to simplifying expressions and solving equations are presented.

Check the below ncert mcq questions for class 7 maths chapter 12 algebraic expressions with answers pdf free download. Addition and subtraction of algebraic expressions · adding polynomials. Learn seventh grade math for free—proportions, algebra basics, arithmetic with negative numbers, probability, circles, and more. Level up on the above skills and collect up to 300 mastery points. Find the top 10 difficult questions for grade 7 mathematics that help improve math skills.

Chapter wise coverage in the form. Maths Important Questions For Final Exam Class 7 Youtube
Maths Important Questions For Final Exam Class 7 Youtube from i.ytimg.com
Learn seventh grade math for free—proportions, algebra basics, arithmetic with negative numbers, probability, circles, and more. Check the below ncert mcq questions for class 7 maths chapter 12 algebraic expressions with answers pdf free download. Addition and subtraction of algebraic expressions · adding polynomials. Algebra questions and problems, for grade 7, related to simplifying expressions and solving equations are presented. Level up on the above skills and collect up to 300 mastery points. In a class test containing . Hard math problems for 7th graders with answers to practice. Chapter wise coverage in the form.

Addition and subtraction of algebraic expressions · adding polynomials.

Addition and subtraction of algebraic expressions · adding polynomials. Level up on the above skills and collect up to 300 mastery points. Find the top 10 difficult questions for grade 7 mathematics that help improve math skills. Learn seventh grade math for free—proportions, algebra basics, arithmetic with negative numbers, probability, circles, and more. Chapter wise coverage in the form. Algebra questions and problems, for grade 7, related to simplifying expressions and solving equations are presented. Hard math problems for 7th graders with answers to practice. Check the below ncert mcq questions for class 7 maths chapter 12 algebraic expressions with answers pdf free download. In a class test containing .

7Th Grade Algebra Questions For Class 7 : Math For 7th Graders :. Learn seventh grade math for free—proportions, algebra basics, arithmetic with negative numbers, probability, circles, and more. Chapter wise coverage in the form. Check the below ncert mcq questions for class 7 maths chapter 12 algebraic expressions with answers pdf free download. Algebra questions and problems, for grade 7, related to simplifying expressions and solving equations are presented. Level up on the above skills and collect up to 300 mastery points.

Post a Comment